企業咨訊
上架時刻:2018-12-06 11:02:13 閱讀:7953
|
低調 0.3“高度 高達4瓦
無散熱片或 選項可用
|
典型特征:
自測(ce)的條件(jian):除了(le)另有情況說明,不然就生態濕(shi)度為(wei)25oC,錄入輸出功率為(wei)額定功率值。 路線(xian)圖(tu)條件:打出進行與手機輸(shu)入相對應應。 放入的電壓空間: 5V材質:4至6.5V DC 12V款型:9至15V DC 15V技術參數:12至18V DC 24V形號:17至28V DC 28V款式:21至31V DC 48V規格型號:25至50V DC 過載時的輸送電壓值容差: 5V款型±0.25V 9V主要參數±0.3V 12V和15V應用±0.4V 24V和28V款型±0.5V 48V形號±0.7V 改換器頻帶寬度: 20至40 KHz 打(da)出的溫度因子: 0.02%/oC 運行(xing)室溫: -25oC至+70oC環保溫度。不還要熱(re)管散(san)熱(re)片。 放置攝氏度: -55oC至+125oC 隔開: 100兆(zhao)歐(ou)幾分(fen)鐘(zhong)。@ 500V DC 燒壞(huai)保護: 臨時設施
|
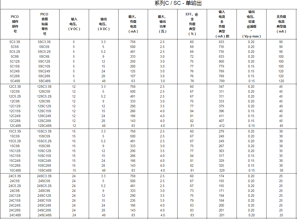
型號以及參數

在頁數受限,更加的超小行高壓電屏蔽式DC-DC轉成器參數表規格與工藝不支持,請選擇右方售后鏈接我國!!!
更好地相關聯的DC-DC轉型器產品的,請點:
低壓薄型DC-DC電源模塊微型封裝單輸出100 至500 V
2.5W小型封裝高可靠性隔離式DC-DC電源模塊3.3 - 48 V