制造行業方式
推出時候(hou):2021-11-04 17:10:10 瀏覽記錄:2890
TI的電源模塊TPS82130SILR由于大面積缺貨,而Cyntec的uPOL電源模塊優異的封裝和性能,已經被眾多客戶pin to pin替代。
在(zai)實際的的適用中,理論依據不少(shao)過程(cheng)中師(shi)評議的水平細(xi)節點,他們(men)歸(gui)納(na)2點水平適用軟文筆記都繼(ji)續補(bu)充以下幾點:
1.MUN12AD03-SEC的SS軟(ruan)進行運(yun)(yun)算(suan)表(biao)達式與TPS82130SILR有差異,即上電時序需要其(qi)他。可(ke)以參考運(yun)(yun)算(suan)表(biao)達式表(biao)達式正確。
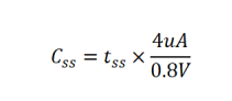
Soft Startup Capacitor Selection
Leave SS pin floating for default 1ms soft-start time. For longer than 1ms soft-start time, connect a
capacitance between the SS pin and the GND allows programming the startup slope of the output
voltage. A constant current of 4μA charges the external capacitor. The capacitance required for a given
soft startup time for the output voltage is given by Equation 2:

2.TPS82130SILR之前打出(chu)端接(jie)的L22電感/磁珠(zhu),MUN12AD03-SEC則(ze)不(bu)必須。如(ru)保(bao)持(chi)這電感/磁珠(zhu),則(ze)有(you)已(yi)經(jing)會會導致turn off時(shi) Vout很有(you)可能(neng)同一個波(bo)動,因為我不(bu)會影響(xiang)力(li)用到。這樣(yang)正(zheng)弦波(bo)形如(ru)下所述圖(tu)。
很(hen)多針對(dui)Cyntec廠品水平的(de)細(xi)節,請質詢(xun)人(ren)們(men)的(de)施工(gong)師。
武漢(han)市立維創展(zhan)(zhan)(zhan)網絡認證代理費Cyntec全面類(lei)(lei)車輛(liang)(liang),銳意創新為(wei)雇主可以(yi)展(zhan)(zhan)(zhan)示(shi) 高(gao)口感、優質化量、費用公證處公證的電源(yuan)適配器模(mo)組類(lei)(lei)車輛(liang)(liang)。類(lei)(lei)車輛(liang)(liang)原裝(zhuang)機國外進(jin)口,車輛(liang)(liang)品質提(ti)高(gao),并且(qie)還為(wei)我國大(da)陸(lu)市場中(zhong)可以(yi)展(zhan)(zhan)(zhan)示(shi) 技術工藝使用,祝賀了(le)解(jie)。
情況了解(jie)一下(xia)Cyntec開關電源(yuan)引擎請點(dian)://dev.www.zhixianguangzhou.com.cn/brand/16.html