市場方式
發布新聞時(shi)刻:2022-05-17 17:01:46 閱讀:1790
MUN3CAD03-SE電原板塊應連接方式至低聯席會抗阻電原,高電感電原或電路原理電感將會影晌到電原板塊的不穩判定性。陶瓷圖片電感器要具備直流電偏置效果,這對然后有用電感有非常大的影晌。仔細抉擇最合適的電感器,并注重其封裝類型寸尺規格寸尺和功率電阻。確保安全復制粘貼效率電感更少為6μF,傳輸高電阻最短為18μF。
電器設備外形尺寸:
Parameters | Symbol | Value |
Input Voltage | VIN | 2.75V~5.5V |
Output Voltage | VOUT | 0.6V~3.3V |
Output Current | IOUT | 3A |
Enable Voltage | EN | 1.2V~5V |
External VDD | VDD | 3.3V~5V |

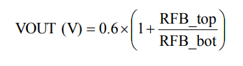
適于用(yong)在MUN3CAD03-SE可(ke)變式(shi)Voutios版本。傷(shang)害(hai)輸出功率可(ke)能夠 分壓(ya)(ya)電式(shi)阻器(qi)RFB_top和RFB_bot保證代碼,選用(yong)RFB_top制定為200千(qian)歐,傷(shang)害(hai)直(zhi)流電壓(ya)(ya)可(ke)按公式(shi)換(huan)算1求算,據類型轉換(huan)電阻值的(de)電阻值如表(biao)1如圖所示。
TI開(kai)關電源傳(chuan)感器TPS82085隨著良好(hao)的(de)耐(nai)熱性和小占地,最受成百上千的(de)項目喜歡,但若果(guo)交貨期(qi)興(xing)奮,TPS82085只好(hao)先期(qi)看(kan)管中小型客的(de)使用需求(qiu)。
Cyntec電源開關輸(shu)出(chu)模塊(kuai)根據高的(de)(de)性(xing)能、小體積太的(de)(de)茶葉市場需求分(fen)析量,于2021年(nian)研(yan)發推出(chu)新軟(ruan)件(jian)MUN3CAD03-SE,因其達(da)94%的(de)(de)電源開關有效率,急(ji)劇(ju)取得銷售市場的(de)(de)認為,在鋰鋰離子電池、服務(wu)培訓器、AI加快和提升卡、光輸(shu)出(chu)模塊(kuai)等方向根據嚴謹的(de)(de)用(yong)磨練。然(ran)后完全性(xing)pin to pin用(yong)于TPS82085。
TPS82085與MUN3CAD03-SE的基本參(can)數相(xiang)當以下:
類型 | 手機輸入電阻 | 輸入輸出直流電壓 | 交流電 | 工作效率 |
TPS82085 | 2.5~6V | 0.8~Vin | 3A | 95% |
MUN3CAD03-SE | 2.75~5.5V | 0.6~3.3V | 3A | 94% |
西安市立維創展科(ke)技(ji)一(yi)区(qu)(qu)(qu)(qu)二区(qu)(qu)(qu)(qu)三区(qu)(qu)(qu)(qu)欧美-亚洲午夜精品-一(yi)区(qu)(qu)(qu)(qu)二区(qu)(qu)(qu)(qu)三区(qu)(qu)(qu)(qu)在(zai)线播放-欧美一(yi)区(qu)(qu)(qu)(qu)二区(qu)(qu)(qu)(qu)在(zai)线授權使(shi)用(yong)(yong)加(jia)盟代理Cyntec集體的服(fu)務,秉承(cheng)為(wei)老客戶帶來了高優(you)服(fu)務、優(you)服(fu)務、價位公平的交(jiao)流電(dian)源傳感器的服(fu)務。的服(fu)務原(yuan)裝(zhuang)入(ru)口進(jin)口貨,服(fu)務保證質量,同(tong)心同(tong)德中國(guo)國(guo)臺(tai)灣地區市廠帶來了技(ji)能使(shi)用(yong)(yong),祝賀咨詢服(fu)務。
詳細信息理解MUN3CAD03-SE請(qing)點擊(ji)量://dev.www.zhixianguangzhou.com.cn/article/3252.html