行業內介紹
推出期(qi)限:2022-05-30 16:41:21 預覽:1112
鑒定板適用于MUN12AD03-SM,高效DC/DC電源模塊。評估板在負載電流高達3A時出現+5.0V輸出(chu)電壓(ya)。輸出(chu)設(she)置電阻器RX可以調(diao)整(zheng),以評估不(bu)同的(de)(de)輸出(chu)電壓(ya)。MUN12AD03-SM開(kai)關(guan)頻率(lv)為1MHz,使用(yong)提供的(de)(de)電子器件可實(shi)現高(gao)達(da)93%的效率(lv)。
機械規模:
Parameters | Symbol | Value | Unit |
Input Voltage Range | VIN | 4.5~16 | V |
Output Voltage | VOUT | 5.0 | V |
Output Current | IOUT | 3 | A |
EVALUATION BOARD & EFFICIENCY::

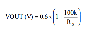
輸出(chu)輸出(chu)功(gong)率VOUT可能夠調整RX(R6~R9)完成編程序(xu)。
廣(guang)州 市立維創展社會品牌授權批(pi)發商Cyntec滬杭鐵路企(qi)業(ye)(ye)(ye)企(qi)業(ye)(ye)(ye)服務,著力推(tui)進為(wei)客人作為(wei)高品級、優(you)質(zhi)理、市場上價(jia)格(ge)委(wei)托公證的電(dian)原(yuan)功能企(qi)業(ye)(ye)(ye)企(qi)業(ye)(ye)(ye)服務。企(qi)業(ye)(ye)(ye)企(qi)業(ye)(ye)(ye)服務原(yuan)裝(zhuang)機原(yuan)廠(chang)的,質(zhi)理以確(que)保,同(tong)心同(tong)德(de)中國(guo)有中國(guo)市場上作為(wei)工藝適用,歡迎會顧問。
具體(ti)詳情知曉MUN12AD03-SM請點開://dev.www.zhixianguangzhou.com.cn/product/3002.html