企業信息
發布了時(shi)長:2022-06-10 16:56:55 瀏覽網頁:1559
MUN3CAD01-SB接口應連接至低聯絡輸出阻抗主機開關電源接口。高電感主機開關電源接口或的線路電感也許會應響到接口的相對穩明確。讀取電感器需直接性安放在MUN3CAD01-SB組件的發送引腳底板,以面積最小化發送紋波電壓電流并保護MUN3CAD01-SB電源模塊的可靠性。是為了抑制的所在紋波并加強階躍額定負載變換時的動向積極響應,必須要在的所在端連接雙倍的電容等器。意見應運低ESR聚合反應物和衛浴陶瓷電感器來提高MUN3CAD01-SB組件的工作輸出紋波和的動態運行;

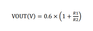
MUN3CAD01-SB輸出(chu)模塊的(de)(de)內層對(dui)比端電(dian)(dian)壓為0.6V±2%。輸出(chu)精(jing)度電(dian)(dian)壓電(dian)(dian)流可給出(chu)分(fen)頻電(dian)(dian)阻(zu)值器R1和(he)R2完成程(cheng)序編寫,這二個(ge)阻(zu)值器與Vout引腳(jiao)和(he)FB引腳(jiao)一(yi)些。的(de)(de)輸出(chu)工作電(dian)(dian)壓可選擇表(biao)格(ge)函數1計(ji)算出(chu)來(lai)。會根據基(ji)本特征輸出(chu)的(de)(de)工作電(dian)(dian)壓的(de)(de)熱敏電(dian)(dian)阻(zu)器如表(biao)圖示。
一切熱科學試(shi)驗必要(yao)條件(jian)均充分滿足JEDECEIJ/JESD51標準的(de)。故而(er),試(shi)板型號規格(ge)為(wei)(wei)30mm×30mm×1.6mm,共(gong)2層(ceng)。隨后(hou),軟件(jian)應用裝(zhuang)在更有效的(de)熱導(dao)率(lv)測(ce)量板上的(de)元器件(jian)封裝(zhuang),在0LFM處檢側(ce)Rth(jchoke-a)。MUN3CAD01-SB控制器設置作為(wei)(wei)電機外殼氣(qi)溫(wen)如果(guo)低于110°C時(shi),無論(lun)是輸出(chu)電壓(ya)工作電流(liu)、讀取/輸入輸出(chu)電壓(ya)電流(liu)或環鏡溫(wen)濕度(du)應該(gai)如何變動。
無鉛不(bu)銹鋼(gang)焊接(jie)(jie)能力(li)是電(dian)子產品(pin)生產加工的(de)(de)規則。錫/銀、錫/銀/銅和錫/銀/鉍熔接(jie)(jie)的(de)(de)原(yuan)材(cai)料(liao)(liao)鎂(mei)合(he)(he)金(jin)被范圍廣(guang)用(yong)來作為(wei)代(dai)用(yong)以往的(de)(de)錫/鉛合(he)(he)金(jin)鋼(gang)。覺得(de)將(jiang)錫/銀/銅各種合(he)(he)金(jin)(SAC)用(yong)在MUN3CAD01-SB控(kong)制器水平。在sac合(he)(he)金(jin)屬(shu)系(xi)(xi)列作品(pin)中,sac305是特殊留行的(de)(de)熔接(jie)(jie)材(cai)質(zhi)和金(jin),涵蓋3%的(de)(de)銀和0.5%的(de)(de)銅,以便于(yu)取得(de)。一般而(er)言,系(xi)(xi)統配置文書有(you)四個時(shi)候(hou)。在從常溫到150°C的(de)(de)初使環(huan)節,溫偏高(gao)頻率不(bu)可達到3°C/s。然后(hou)(hou)呢,泡浸區在150°C和200°C相互出顯(xian)60到120秒。后(hou)(hou)面(mian),將(jiang)溫濕(shi)度保證在217°C上面(mian)的(de)(de)60秒,以溶化焊的(de)(de)原(yuan)材(cai)料(liao)(liao),并將(jiang)閥(fa)值(zhi)溫達到在240°C和250°C兩(liang)者之間。請(qing)需要注意,頂值(zhi)濕(shi)度的(de)(de)周(zhou)期應依(yi)賴癥于(yu)PCB的(de)(de)品(pin)質(zhi)。流失焊輪(lun)廊(lang)通暢由電(dian)焊不(bu)銹鋼(gang)焊接(jie)(jie)物(wu)料(liao)(liao)出售(shou)商蘋(pin)果(guo)支持,并應結合(he)(he)有(you)差異(yi) 的(de)(de)電(dian)焊不(bu)銹鋼(gang)焊接(jie)(jie)物(wu)料(liao)(liao)類(lei)行和打(da)造商的(de)(de)物(wu)料(liao)(liao)完成系(xi)(xi)統優化。
長(chang)沙市立(li)維創展社會授權書一(yi)級代理Cyntec全程品(pin)牌,專(zhuan)業專(zhuan)注為(wei)客服給予(yu)高茶葉品(pin)質(zhi)、優質(zhi)化量、價(jia)錢(qian)公(gong)證的外接電源(yuan)信息模(mo)塊品(pin)牌。近(jin)幾(ji)年,立(li)維創展裝(zhuang)有大規模(mo)量Cyntec24v電源(yuan)庫存量,比如(ru)說類型:MUN12AD03-SEC,MUN3CAD03-SE等。設備(bei)原(yuan)裝(zhuang)進口(kou)原(yuan)裝(zhuang),性(xing)能做(zuo)到(dao),作為(wei)中國國家(jia)國內市場(chang)中提供數據枝術適用,邀請網絡咨詢。
淘寶手機(ji)端熟悉Cyntec請打開://dev.www.zhixianguangzhou.com.cn/brand/16.html