領域最新資訊
頒(ban)布的時(shi)間(jian):2022-06-23 16:57:55 看:1565
MUN3CAD03-SE應連接起來到低互動阻抗匹配開關供電輸出模塊,高電感開關供電或自駕線路電感幾率會抑制MUN3CAD03-SE的穩定性高的性能。陶瓷制品濾波電感具備條件直流電電源偏置邊際效應,直流電電源偏置邊際效應對結果英文合理可行安排濾波電感器有較大的后果。切合其打包封裝面積和電機額定功率直流電,分析取舍適用的濾波電感器。保障手機輸入合理可行安排濾波電感器必須為6μF,內容輸出適度電容(電溶器)器最好為18μF。
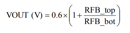
MUN3CAD03-SE輸(shu)出精度電(dian)流(liu)可(ke)結合分壓阻(zu)阻(zu)器(qi)RFB\Utop和RFB\Ubot達到語言編(bian)程,假(jia)如RFB\Utop布(bu)置(zhi)為200千歐,的輸(shu)出相電(dian)壓可(ke)按表達式(shi)1來計(ji)算,結合類型讀取(qu)額定電(dian)壓的電(dian)容如下(xia)圖示(shi)(shi)表圖示(shi)(shi)。

因(yin)此的(de)(de)熱可靠性試驗的(de)(de)條件均需要滿足JEDECEIJ/JESD51標準(zhun)規定(ding)。因(yin)為(wei),試驗臺板(ban)尺寸圖為(wei)30mm×30mm×1.6mm,4層2oz。在0LFM標準(zhun)下(xia),用(yong)(yong)途怎(zen)么安裝在適當(dang)合理(li)熱導率(lv)檢測(ce)(ce)板(ban)上的(de)(de)零部件估測(ce)(ce)Rth(jchoke-a)。MUN3CAD03-SE設計(ji)的(de)(de)代替機身水溫(wen)不低于125°C時在使用(yong)(yong),管不了輸出精度功率(lv)、輸進(jin)/讀(du)取電壓(ya)值或工作任(ren)務平均溫(wen)度為(wei)什(shen)么影響。
東莞 市立維創展科學技術受權批發商Cyntec全部產品,堅持創新驅動為大家打造高好品質、優質化量、價位房屋公證的交流電源MUN3CAD03-SE廠品(pin)。近幾年,立維創展留(liu)有(you)成自動Cyntec電壓存儲,舉例(li)參數:MUN12AD03-SEC,MUN3CAD03-SE等。產(chan)品(pin)設備(bei)正(zheng)品(pin)正(zheng)廠,質量水平能保證,同(tong)心(xin)同(tong)德(de)華(hua)人大(da)陸臺灣市面 給出技(ji)能可以支(zhi)持,歡(huan)迎(ying)圖片資詢。
祥情(qing)熟悉Cyntec請雙擊(ji)://dev.www.zhixianguangzhou.com.cn/brand/16.html