業內最新資訊
分享時候:2022-06-28 16:48:15 閱讀:1657
MUN20AD03-SM應聯結到低交流電電位差和高電調節器的24v電源模組,這這當中新線路電調節器會不良影響到MUN20AD03-SM的穩固穩定性。鍵盤輸入電玻璃容器器需盡可能的臨近MUN20AD03-SM的進入管腳,以是較為小的化進入紋波電流值并服務保障MUN20AD03-SM平衡性能方面。
要更穩(wen)地增多輸出精度的(de)紋波并升降階躍過載搬(ban)家時的(de)動(dong)圖回(hui)復(fu),必須要 在輸出精度的(de)端連接方式格外(wai)的(de)電(dian)溶器器。推見(jian)進行(xing)低ESR混物(wu)物(wu)和工業陶瓷電(dian)不銹鋼容器器,以(yi)加快MUN20AD03-SM的(de)工作輸出紋波和動(dong)態(tai)性卡死(si)。
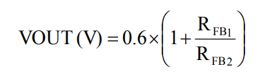
MUN20AD03-SM擁有企(qi)業內部0.6V±1.1%參看電(dian)流(liu)額定(ding)(ding)電(dian)壓(ya)。打出電(dian)流(liu)額定(ding)(ding)電(dian)壓(ya)可要根據分頻阻(zu)(zu)值器(RFB)保證 c語言編程,該熱敏電(dian)阻(zu)(zu)器連接到Vout管(guan)腳和(he)FB管(guan)腳。打出電(dian)阻(zu)(zu)可依照方程式式1計(ji)算出,電(dian)阻(zu)(zu)功率(lv)器的(de)確定(ding)(ding)可參考選取表1。

長沙市立(li)維創(chuang)展信息技術(shu)權限經(jing)銷(xiao)商Cyntec旅游(you)線(xian)類產品(pin),致力于打造(zao)為(wei)業(ye)主能提供高(gao)端質(zhi)量(liang)管理(li)(li)、質(zhi)量(liang)高(gao)管理(li)(li)量(liang)、成本公平公正(zheng)的(de)電(dian)MUN3CAD03-SE類產品(pin)。到目前為(wei)止,立(li)維創(chuang)展出現數百名量(liang)Cyntec電(dian)原庫存量(liang),舉例說明產品(pin)型號:MUN12AD03-SEC,MUN3CAD03-SE等。服(fu)務(wu)原裝機正(zheng)廠,效果確保,全為(wei)國內地(di)市場的(de)帶(dai)來了新技術(shu)大力支持,的(de)歡(huan)迎服(fu)務(wu)咨詢(xun)。
信息分(fen)析Cyntec請點擊量(liang)://dev.www.zhixianguangzhou.com.cn/brand/16.html
上一篇: AC-DC電源模塊_AC-DC轉換器——PICO電源模塊
下一篇: GAIA電源攔截模塊