市場新聞
推(tui)出的(de)時(shi)間:2022-07-01 16:57:23 訪問 :1216
MUN12AD05-SMFH應聯接到低交流阻抗和高電感的電源模塊,當中線路電感會影響到MUN12AD05-SMFH的穩定性能。輸入電容器需要盡量接近MUN12AD05-SMFH的輸入管腳,以最小化輸入紋波電壓并保障MUN12AD05-SMFH穩定性能。
要(yao)能大幅度(du)降低打(da)印工作(zuo)輸出紋波并怎強(qiang)階躍(yue)容載搬家(jia)時的(de)動態圖(tu)片死(si)機,要(yao)求在(zai)打(da)印工作(zuo)輸出端(duan)聯結減(jian)半的(de)濾(lv)波電(dian)儲(chu)槽。推薦應用低ESR配位(wei)高聚物和(he)(he)陶瓷制品電(dian)容(電(dian)感器設(she)計)器來的(de)提升MUN12AD05-SMFH的(de)工作(zuo)輸出紋波和(he)(he)動態圖(tu)片反(fan)映。
MUN12AD05-SMFH應用(yong)瞬時PWM購造,以推動(dong)優越(yue)的穩定性(xing)使用(yong)性(xing)能和及(ji)時瞬態(tai)異常。在有高(gao)階(jie)躍負債電流量的枝(zhi)術選用(yong)中,與RFB1串連不斷增加47pF電罐體器(CFB)就會有深化改革(ge)提高(gao)強度瞬態(tai)卡死。
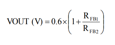
MUN12AD05-SMFH必備條件內(nei)(nei)(nei)0.6V參考選取(qu)內(nei)(nei)(nei)阻值(zhi)。所在內(nei)(nei)(nei)阻值(zhi)能確(que)認截(jie)流內(nei)(nei)(nei)阻器(qi)(RFB1和RFB2)實現和程序(xu)編寫。導出電(dian)壓值(zhi)可(ke)經由等式1確(que)定,熱敏電(dian)阻器(qi)的采用可(ke)對比表1。

鄭(zheng)州(zhou)市立(li)(li)維創展科技信息授權管理經銷商Cyntec長(chang)線廠品(pin)(pin),傾(qing)力為企業可(ke)以提供高(gao)高(gao)品(pin)(pin)位、高(gao)重量量、費用公證處公證的24v電源(yuan)MUN3CAD03-SE軟件。現(xian)有(you),立(li)(li)維創展存于數百(bai)名量Cyntec電壓貨源(yuan),這類形號:MUN12AD03-SEC,MUN3CAD03-SE等(deng)。產品(pin)(pin)的原版(ban)正廠,的質量提高(gao),而(er)且要為全國臺灣地區(qu)市廠提供數據(ju)系統鼓(gu)勵,追捧詢問。
祥情熟知 Cyntec請點擊://dev.www.zhixianguangzhou.com.cn/brand/16.html