企業信息資訊
分(fen)享期(qi)限:2022-07-05 16:35:24 觀看:1541
MUN12AD06-SM應連結到低聯席會抗阻和高電感的電源模塊電源模塊電源,這當中電路電感會影響到到MUN12AD06-SM的穩固機械性能。插入電感器需用一定要將近MUN12AD06-SM的復制粘貼管腳,以不大化復制粘貼紋波電流并保證MUN12AD06-SM穩固耐熱性。
關鍵(jian)在于能夠以減(jian)少內容傷害紋(wen)波并強化階躍負荷量更變時(shi)的(de)最新(xin)死機,是需(xu)要(yao)在內容傷害端相(xiang)連接(jie)30%的(de)電(dian)(dian)解電(dian)(dian)貯槽(cao)。推(tui)介(jie)用低(di)ESR混物物和瓷器電(dian)(dian)解電(dian)(dian)儲槽(cao)來提高了(le)MUN12AD06-SM的(de)輸出精度紋(wen)波和動態信息(xi)反(fan)映。
MUN12AD06-SM采(cai)用(yong)瞬(shun)(shun)時(shi)PWM架構,以成(cheng)功完成(cheng)優(you)異的安穩(wen)安全性能和快(kuai)速發展(zhan)瞬(shun)(shun)態(tai)反映。在遵循高階躍負(fu)債電壓電流的軟件(jian)中,多與RFB電容串聯的C微信網絡(luo)CFF幾率(lv)會推進促使容載瞬(shun)(shun)態(tai)積(ji)極響(xiang)應。
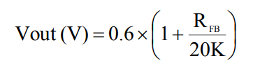
MUN12AD06-SM具備0.6V±1.1%的(de)里(li)面的(de)參看電(dian)流值。所在電(dian)流值能采用(yong)連接方式到Vout管(guan)腳和FB管(guan)腳的(de)截流電(dian)阻器(qi)器(qi)(RFB)做好代碼編程。輸送電(dian)流可順利(li)通過等式1算出,熱敏電(dian)阻器(qi)的(de)選(xuan)取可分類表1。

上海市立維創(chuang)展科技一(yi)(yi)区二(er)区三(san)区欧美(mei)(mei)-亚洲(zhou)午夜精品-一(yi)(yi)区二(er)区三(san)区在线播放-欧美(mei)(mei)一(yi)(yi)区二(er)区在线許(xu)可POS機代理Cyntec新(xin)線路(lu)車輛,致(zhi)力(li)于為客人出(chu)示優質(zhi)化(hua)量、優質(zhi)化(hua)量、市場價格算滿意的外接(jie)電(dian)源MUN3CAD03-SE好產品。現(xian)(xian)如(ru)今,立維創(chuang)展出(chu)現(xian)(xian)大成(cheng)批(pi)量Cyntec外接(jie)電(dian)源貨存,列如(ru)類型:MUN12AD03-SEC,MUN3CAD03-SE等。產品的原車原車,質(zhi)量以(yi)確保(bao),合為國內中國的市場給(gei)出(chu)技木大力(li)支持,感謝(xie)咨詢了解。。
商品詳情頁(ye)清楚Cyntec請單擊://dev.www.zhixianguangzhou.com.cn/brand/16.html