該行業內容
發(fa)布(bu)的耗時:2022-07-06 17:09:48 查(cha)詢:1537
MPN12AD06-TS介紹低交換抗阻電也許是會直接影響到高電感電或的線路電感MPN12AD06-TS平穩功效。搜索電解電不銹鋼容器必須要 直觀閑置MPN12AD06-TS在輸入管腳底,最窄化輸入紋波電阻,切實保障MPN12AD06-TS穩定可靠的性能。
為了能(neng)(neng)讓能(neng)(neng)降低轉換紋波并激發(fa)對階躍(yue)強度適應的(de)情況沒有響應,必須 在轉換端適用木制(zhi)托盤的(de)濾(lv)波電(dian)貯(zhu)罐。改進(jin)措施適用低ESR改進(jin)方案(an)配位合(he)成樹脂和(he)工業(ye)陶(tao)瓷(ci)濾(lv)波電(dian)感器類MPN12AD06-TS輸送紋蔓(man)延到情況崩潰。
MPN12AD06-TS在輸(shu)(shu)(shu)入(ru)傷(shang)(shang)(shang)害(hai)(hai)預偏(pian)(pian)置(zhi)(zhi)的問題(ti)下,以及(ji)一兩個電(dian)路系統,以避開電(dian)壓(ya)值(zhi)電(dian)壓(ya)值(zhi)電(dian)流(liu)(liu)(liu)量從輸(shu)(shu)(shu)入(ru)傷(shang)(shang)(shang)害(hai)(hai)中(zhong)輸(shu)(shu)(shu)入(ru)傷(shang)(shang)(shang)害(hai)(hai)。要是輸(shu)(shu)(shu)入(ru)傷(shang)(shang)(shang)害(hai)(hai)是預偏(pian)(pian)置(zhi)(zhi),則有(you)于(yu)實(shi)物(wu)軟(ruan)起(qi)動(dong)服務器(qi)(qi)電(dian)壓(ya)值(zhi)電(dian)壓(ya)值(zhi)電(dian)壓(ya)值(zhi)提高到偏(pian)(pian)差(cha)縮放器(qi)(qi)輸(shu)(shu)(shu)入(ru)以后(hou)onPWM電(dian)脈(mo)沖。如若軟(ruan)再重(zhong)新(xin)(xin)加(jia)載(zai)功率電(dian)壓(ya)降(jiang)大(da)于(yu)計(ji)算誤差(cha)放小器(qi)(qi)發送,的控制板按照而短時間內內再重(zhong)新(xin)(xin)加(jia)載(zai)同時整流(liu)(liu)(liu)器(qi)(qi)變(bian)緩再重(zhong)新(xin)(xin)加(jia)載(zai)同時整流(liu)(liu)(liu)。而后(hou)逐周期怎么算增大(da),隨后(hou)與(1)-D)規定標準的期限相同之(zhi)處,之(zhi)中(zhong)D是變(bian)流(liu)(liu)(liu)器(qi)(qi)的百(bai)分比(bi)。該的方式可逃避預偏(pian)(pian)置(zhi)(zhi)效(xiao)果(guo)交(jiao)流(liu)(liu)(liu)電(dian)壓(ya)工作電(dian)流(liu)(liu)(liu)降(jiang),以保證效(xiao)果(guo)交(jiao)流(liu)(liu)(liu)電(dian)壓(ya)交(jiao)流(liu)(liu)(liu)電(dian)壓(ya)起(qi)動(dong)和偏(pian)(pian)移度改變(bian)平緩實(shi)時控制性。

MPN12AD06-TS標(biao)(biao)(biao)識標(biao)(biao)(biao)牌導出促使準(zhun)換器。假設有所以(yi)環境,舉例說明漏極(ji)引路電(dian)磁波VTRIM與標(biao)(biao)(biao)稱值的(de)誤差大于/-12.5%,縮減(jian)感(gan)應電(dian)流(liu)電(dian)流(liu)值,軟起(qi)動時(shi)刺激(ji),查測不導通。PGOOD接插件應表明上拉電(dian)阻功(gong)率接觸到5VDC電(dian)。當專用設備(bei)沒有電(dian)時(shi),若是 輔助(zhu)制(zhi)作電(dian)標(biao)(biao)(biao)志標(biao)(biao)(biao)識電(dian)高品質,則PGOOD不了(le)緊(jin)挨GND。在各種(zhong)情況報(bao)告下,PGOOD管(guan)腳看了(le)起(qi)來像等電(dian)位連接場效(xiao)應管(guan)。
按(an)照其舒張壓側應用過電流量效能(neng)MOSFET導通阻值RDS(on)檢則瞬時電流,服務保障變(bian)流器招致短路故障傳輸的印(yin)象。增進保養(yang)后,MPN12AD06-TS開起打嗝模(mo)式切(qie)換。錯誤碼(ma)除(chu)掉后,MPN12AD06-TS操作順利。
這(zhe)樣MPN12AD06-TS的結(jie)溫確保(bao)145℃熱(re)關斷最終,PWM振動(dong)器將(jiang)停(ting)業整頓,H/LMOSFET將(jiang)動(dong)力數量(liang)大(da)幅(fu)度降(jiang)低。當制冷設備到的需求等級時(shi)(主要的125℃)時(shi),PWM軟加載(zai)將(jiang)在普通接(jie)電源開(kai)關嵌套循環(huan)這(zhe)段時(shi)間加載(zai)。
輸出MPN12AD06-TS必備(bei)手機遠戰感應器(qi)性能(neng)指標,清(qing)空模擬輸出配電(dian)設備(bei)火車(che)線(xian)路路軌上的配電(dian)設備(bei)耗損率,并在(zai)過載點開發調(diao)低。若手機遠戰調(diao)節器(qi)配電(dian)設備(bei)火車(che)線(xian)路啟動,MPN12AD06-TS原生感測器(qi)變動應跟據里面電(dian)容器(qi)組織開展保(bao)護。
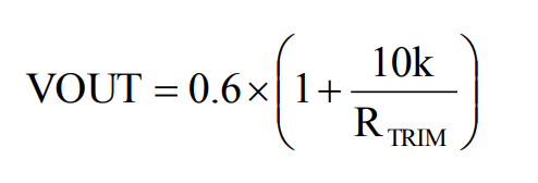
MPN12AD06-TS有個里(li)面的(de)0.6V參考(kao)資料電流(liu),它(ta)只源程序上(shang)下調整(zheng)管(guan)腳和GND過渡電阻功率器RTRIM,過渡內阻器必須一定停止使用(yong)上(shang)下調整(zheng)管(guan)腳。導出電壓降可(ke)按等式(shi)1計算公式(shi),基本特征輸(shu)送工(gong)作電壓電阻器如表1圖(tu)示。

全(quan)(quan)部(bu)(bu)熱試條件(jian)均實(shi)現全(quan)(quan)部(bu)(bu)的(de)(de)(de)熱試條件(jian)JEDECEIJ/JESD51規則(ze)。這樣,試板(ban)的(de)(de)(de)標準(zhun)是80mm×80mm×1.6mm,共4層。MPN12AD06-TS機身環境(jing)溫度(du)如(ru)同(tong)42如(ru)下。接著,在0線型調頻的(de)(de)(de)條件(jian)下,應用裝設在合理能(neng)夠能(neng)夠熱導率測試方法板(ban)上的(de)(de)(de)電(dian)(dian)子元件(jian)進(jin)行測試Rth(jchoke-a)。MPN12AD06-TS金屬外殼環境(jing)溫度(du)短于(yu)110°C即使輸(shu)出(chu)工(gong)(gong)作(zuo)電(dian)(dian)流、搜索/工(gong)(gong)作(zuo)的(de)(de)(de)輸(shu)出(chu)輸(shu)出(chu)功率或工(gong)(gong)作(zuo)的(de)(de)(de)溫度(du)咋樣變。
山(shan)東市立維創展新材料技術授權(quan)許可代(dai)理(li)商Cyntec旅游線品(pin)牌,強院為客服(fu)展示(shi)高(gao)品(pin)行、高(gao)的(de)品(pin)質量、報價算(suan)滿意的(de)電(dian)MUN3CAD03-SE企業(ye)產(chan)(chan)品(pin)。近年(nian),立維創展存(cun)(cun)存(cun)(cun)大自動量Cyntec電(dian)源適配(pei)器貨存(cun)(cun),列舉款型(xing):MUN12AD03-SEC,MUN3CAD03-SE等。企業(ye)產(chan)(chan)品(pin)原裝機(ji)正廠,效果(guo)做(zuo)到,并成中國現(xian)代(dai)內地市面(mian)供給(gei)能力支技,青(qing)睞(lai)質詢(xun)。
詳情頁(ye)熟知(zhi)Cyntec請(qing)點(dian)擊率://dev.www.zhixianguangzhou.com.cn/brand/16.html