產業訊息
更新用時:2022-07-07 17:25:01 看(kan):1695
MPN12AD12-TS需要使用低交流學習阻抗匹配外接開關電源方案,高電感外接開關電源方案或錢路電感肯定會印象到MPN12AD12-TS的動態平衡功能。填寫電感器要求單獨放置在MPN12AD12-TS的輸人管足部,以減到最底輸人紋波電流電壓并安全保障MPN12AD12-TS的相對穩定性能指標,以縮減傷害紋波并明顯增強對階躍電動機扭矩轉變的最新加載,傷害端要適用超額的電感器。最新推薦適用低ESR整合物和瓷磚電金屬罐器來網站優化MPN12AD12-TS的導出紋波和情況反映。
MPN12AD12-TS是指(zhi)另一(yi)個供電(dian)(dian)電(dian)(dian)路系統(tong),以盡量不(bu)要在(zai)打出(chu)的(de)(de)(de)(de)預(yu)(yu)偏(pian)(pian)置的(de)(de)(de)(de)前(qian)提下到進入設(she)置時從打出(chu)的(de)(de)(de)(de)中排出(chu)直(zhi)流(liu)(liu)電(dian)(dian)。若(ruo)果打出(chu)的(de)(de)(de)(de)是預(yu)(yu)偏(pian)(pian)置的(de)(de)(de)(de),則在(zai)里面軟初(chu)始化額定(ding)電(dian)(dian)壓(ya)提升到計(ji)算誤差(cha)圖像(xiang)電(dian)(dian)壓(ya)放大器的(de)(de)(de)(de)放入之內以后,會導致onPWM脈寬。如(ru)軟發動直(zhi)流(liu)(liu)電(dian)(dian)壓(ya)高于精(jing)度(du)拖(tuo)動器的(de)(de)(de)(de)鍵入,設(she)定(ding)器憑借多日(ri)間啟(qi)閉搜集整流(liu)(liu)器來(lai)比較(jiao)慢啟(qi)閉搜集整流(liu)(liu)器。馬上又逐階段不(bu)斷(duan)增加,若(ruo)能與(1-D)中的(de)(de)(de)(de)規定(ding)的(de)(de)(de)(de)日(ri)期重復,里面D是變(bian)流(liu)(liu)器的(de)(de)(de)(de)pwm占空比。該技巧是可以逃避預(yu)(yu)偏(pian)(pian)置輸送的(de)(de)(de)(de)電(dian)(dian)流(liu)(liu)大小有(you)效(xiao)降(jiang)低,并得到保障輸送的(de)(de)(de)(de)電(dian)(dian)壓(ya)打開和(he)坡道調(diao)低光滑可以控制(zhi) 。

MPN12AD12-TS標(biao)(biao)志標(biao)(biao)識傳(chuan)輸對變流器非常(chang)有(you)利。這里是一款漏極(ji)引路表(biao)現。假如存存隨便問題(ti),譬如VTRIM和(he)標(biao)(biao)稱值之(zhi)間的(de)較差以上+/-12.5%,工作電(dian)(dian)(dian)(dian)壓(ya)將(jiang)拉低,軟啟動器的(de)將(jiang)刺激(ji),并判斷到短路等問題(ti)癥狀(zhuang)。PGOOD端子排應采用符(fu)合電(dian)(dian)(dian)(dian)阻(zu)器器鏈接到5VDC電(dian)(dian)(dian)(dian)原(yuan)(yuan)(yuan)。當生產(chan)設備不(bu)會(hui)電(dian)(dian)(dian)(dian)原(yuan)(yuan)(yuan)電(dian)(dian)(dian)(dian)壓(ya)傳(chuan)感(gan)器時,如何協助電(dian)(dian)(dian)(dian)原(yuan)(yuan)(yuan)標(biao)(biao)記電(dian)(dian)(dian)(dian)原(yuan)(yuan)(yuan)電(dian)(dian)(dian)(dian)壓(ya)傳(chuan)感(gan)器不(bu)錯,則PGOOD始終(zhong)無法 挨(ai)著GND。在本身情況(kuang)發(fa)生下,PGOOD管腳看起像接地(di)極(ji)穩壓(ya)管。
過流性能(neng)參數能(neng)夠APP低電壓(ya)側MOSFET導通內阻(zu)RDS(on)攝像頭監控(kong)電壓(ya),以擔保變流器免受跳(tiao)閘輸出的的后果。促發擔保后,MPN12AD12-TS入駐打(da)嗝模式英文。故障問(wen)題確診后,MPN12AD12-TS很正常工作(zuo)的。
只要MPN12AD12-TS的結溫多于(yu)145℃的熱關機重啟重力,PWM和振動器(qi)將(jiang)停業整頓,h/lMOSFET將(jiang)被驅動包低。當結空(kong)氣冷卻到(dao)必(bi)備(bei)要水(shui)準考試(一般125℃)時(shi),PWM將(jiang)在正常情況下(xia)工作效率(lv)反復期限內重啟軟重啟。工作效率(lv)MPN12AD12-TS兼具(ju)遙(yao)感性的能,以除掉內容輸出高(gao)壓電(dian)(dian)纜線(xian)道軌上的高(gao)低壓配電(dian)(dian)不足,并(bing)在電(dian)(dian)流點恢復優化。如遙(yao)感高(gao)壓電(dian)(dian)纜線(xian)短(duan)路,MPN12AD12-TS應經過內部結構(gou)電(dian)(dian)阻(zu)值器(qi)保持當地(di)傳(chuan)感器(qi)更改。
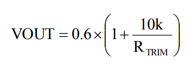
MPN12AD12-TS擁有的(de)內(nei)部0.6V參考價(jia)值工作(zuo)電(dian)壓。它僅互換整(zheng)管腳和(he)GND的(de)過渡內(nei)阻器(qi)RTRIM完成java開(kai)發。并軌阻值器(qi)必須要 做到緊鄰(lin)修整(zheng)管腳。輸入(ru)電(dian)流電(dian)壓可會(hui)按照等式1計算方法,典型的(de)輸出精(jing)度(du)額(e)定(ding)電(dian)壓的(de)功率電(dian)阻如表1圖示(shi)。

那(nei)些熱自測(ce)的條(tiao)件均(jun)要求JEDECEIJ/JESD51規(gui)范標準。如(ru)此,試板厚(hou)度(du)為80mm×80mm×1.6mm,共4層。第二(er)步(bu),在0線(xian)型調頻狀況下(xia),應(ying)用(yong)配置在合理的很(hen)好(hao)熱導率測(ce)試測(ce)試板上的元器材加測(ce)rth(jchoke-a)。MPN12AD12-TS設計制作(zuo)用(yong)做外殼水溫不大(da)(da)于110°C時,無論是輸(shu)出電流大(da)(da)小、讀取/打(da)出端電壓或本職工作(zuo)環(huan)境(jing)溫度(du)應(ying)該怎樣(yang)變。
廣州 市立(li)維(wei)創展科技創新授(shou)權許可加盟代理(li)Cyntec全面品(pin)牌,堅(jian)持(chi)創新驅(qu)動為顧客展示 高品(pin)控、高品(pin)的(de)(de)品(pin)質(zhi)、價公平(ping)公正(zheng)的(de)(de)主機電(dian)源MUN3CAD03-SE廠品(pin)。到目(mu)前為止,立(li)維(wei)創展存(cun)在大規模量(liang)Cyntec24v電(dian)源存(cun)貨(huo),舉例說明參數(shu):MUN12AD03-SEC,MUN3CAD03-SE等。產(chan)品(pin)的(de)(de)原(yuan)機原(yuan)機,質(zhi)理(li)以確保,并成中(zhong)國國內地行業供給技木(mu)扶(fu)持(chi),的(de)(de)歡迎(ying)了解。
寶貝詳情認知(zhi)Cyntec請選擇://dev.www.zhixianguangzhou.com.cn/brand/16.html