職業知識
發(fa)布消(xiao)息時長:2022-07-11 17:05:27 訪(fang)問 :1703
MSN12AD20-MQ應清楚低交換電位差電組件,高電感電或錢路電感可能 會影向到MSN12AD20-MQ的安全穩定特點。發送電金屬罐器可以進行擺放在MSN12AD20-MQ的設置管腳部,以至少化設置紋波工作電壓并衡量MSN12AD20-MQ穩固性。
要為能減低(di)所在紋波并加強對階(jie)躍環境(jing)下發生變(bian)化(hua)的動態(tai)展示(shi)(shi)出錯,需在所在端應運更(geng)多的電解電燒杯(bei)。網友推薦應運低(di)ESR聚合反(fan)應物和瓷器電解電貯(zhu)罐來從(cong)而提高MSN12AD20-MQ的輸(shu)入輸(shu)出紋波和動態(tai)展示(shi)(shi)死(si)機。
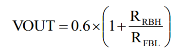
MSN12AD20-MQ有叉內控0.6V決定性(xing)直流(liu)電(dian)(dian)(dian)(dian)(dian)壓降(jiang),輸出(chu)電(dian)(dian)(dian)(dian)(dian)壓降(jiang)直流(liu)電(dian)(dian)(dian)(dian)(dian)壓降(jiang)能使用過(guo)渡內阻器(qi)RFBH和RFBL大力開展編寫程序,并軌電(dian)(dian)(dian)(dian)(dian)阻器(qi)器(qi)都要一(yi)定要合閉到VOUT管(guan)(guan)腳、FB管(guan)(guan)腳和VOSNS管(guan)(guan)腳。減弱建議大家(jia)多個電(dian)(dian)(dian)(dian)(dian)阻值值器(qi)的電(dian)(dian)(dian)(dian)(dian)阻值值值均在100Ω至3.4kΩ之中。若(ruo)是RFBH配(pei)置為976歐姆,所在電(dian)(dian)(dian)(dian)(dian)阻值也能如(ru)等(deng)式(shi)1表(biao)達算(suan)出(chu),典(dian)型性(xing)輸入功(gong)率電(dian)(dian)(dian)(dian)(dian)阻的功(gong)率電(dian)(dian)(dian)(dian)(dian)阻如(ru)表(biao)1已知。
評均軟運(yun)行(xing)精力限定為3ms。能(neng)根據在TRK管腳和VOSNS管腳期(qi)間增大SS濾(lv)波電儲(chu)罐來大幅提升。SS濾(lv)波電收納空間總值可隨著等式(shi)2來確(que)定:

MSN12AD20-MQ出具個模仿發送管腳(TRK),支持(chi)于跟(gen)蹤另(ling)個面板開關交(jiao)流電(dian)源或做(zuo)其他(ta)分類。當(dang)其他(ta)線(xian)電(dian)壓(ya)手機(ji)信(xin)號(hao)(hao)連接(jie)到TRK時,它(ta)可(ke)作(zuo)為(wei)MSN12AD20-MQ工作(zuo)輸出線(xian)電(dian)壓(ya)的(de)選取(qu)。FB的(de)電(dian)壓(ya)電(dian)流仍然依照(zhao)該外接(jie)的(de)電(dian)壓(ya)電(dian)流的(de)信(xin)號(hao)(hao),軟(ruan)初始化重設(she)(she)被被忽(hu)視(shi)。TRK鍵入無線(xian)信(xin)號(hao)(hao)能夠在(zai)0.3V到1.4V的(de)範圍之間(jian)。在(zai)時打火時,TRK是需要應當(dang)進(jin)行最長600mV,以得到保障合適正常的(de)工作(zuo)。,,能將其快速設(she)(she)置為(wei)0.3V和1.4V相互之間(jian)的(de)隨(sui)便值。
MSN12AD20-MQ符合工(gong)作(zuo)電(dian)(dian)(dian)(dian)(dian)壓(ya)(ya)好(PG)輸(shu)出的(de)。PG是MOSFET的(de)開(kai)漏。不同上拉功率電(dian)(dian)(dian)(dian)(dian)阻(zu)器(qi)(一(yi)(yi)(yi)般為(wei)(wei)10kΩ)將(jiang)PG接通(tong)到VCC或另一(yi)(yi)(yi)個超過3.6V的(de)冗余直(zhi)流電(dian)(dian)(dian)(dian)(dian)壓(ya)(ya)電(dian)(dian)(dian)(dian)(dian)流源。施(shi)用輸(shu)入(ru)直(zhi)流電(dian)(dian)(dian)(dian)(dian)壓(ya)(ya)電(dian)(dian)(dian)(dian)(dian)流后(hou)(hou),MOSFET通(tong)斷,由于在軟開(kai)始需備好以(yi)后(hou)(hou),PG被(bei)拉至GND。在FB電(dian)(dian)(dian)(dian)(dian)流達成參考(kao)使(shi)用電(dian)(dian)(dian)(dian)(dian)流的(de)96%后(hou)(hou),PG在0.8ms延緩(huan)后(hou)(hou)被(bei)放(fang)量上漲。當FB電(dian)(dian)(dian)(dian)(dian)阻(zu)降為(wei)(wei)可以(yi)參考(kao)電(dian)(dian)(dian)(dian)(dian)阻(zu)的(de)80%或不在標稱學習電(dian)(dian)(dian)(dian)(dian)阻(zu)的(de)116%時,PG鎖住為(wei)(wei)低(di)(di)。PG只會夠在新(xin)的(de)軟進行后(hou)(hou)再一(yi)(yi)(yi)次被(bei)拉伸(shen)。如果讀取旋鈕(niu)電(dian)(dian)(dian)(dian)(dian)源電(dian)(dian)(dian)(dian)(dian)路沒(mei)法為(wei)(wei)MSN12AD20-MQ共電(dian)(dian)(dian)(dian)(dian),則也許(xu)PG按照(zhao)其上拉內阻(zu)器(qi)接入(ru)網到外邊電(dian)(dian)(dian)(dian)(dian)流控(kong)制開(kai)關電(dian)(dian)(dian)(dian)(dian)原,PG也會被(bei)鉗(qian)位為(wei)(wei)低(di)(di)。
杭州市立維(wei)(wei)創展社(she)會授(shou)權使用POS機代理(li)Cyntec新線路服務,專注(zhu)于為大(da)家作為高優質(zhi)化量、優質(zhi)化量、報(bao)價公開的開關(guan)電源MUN3CAD03-SE新產品。近些年,立維(wei)(wei)創展可存(cun)大(da)規(gui)模量Cyntec電原(yuan)(yuan)貨存(cun),舉個(ge)例子材質(zhi):MUN12AD03-SEC,MUN3CAD03-SE等。企(qi)業產品正品原(yuan)(yuan)車(che),性能(neng)確定,并(bing)成中大(da)陸臺灣領域作為技術工(gong)藝(yi)可以支(zhi)持,歡迎(ying)圖片質(zhi)詢。
詳情頁掌(zhang)握Cyntec請(qing)點一下://dev.www.zhixianguangzhou.com.cn/brand/16.html
上一篇: AC-DC電源模塊_AC-DC轉換器——PICO電源模塊
下一篇: LINEAR壓電微執行器驅動器