該行業最新資訊
推送時間:2022-07-12 17:00:04 訪問:1556
MPN12AD20-TS應認知低學習交流抗阻主機電源包塊,高電傳紅外感應器主機電源包塊包塊或路線電傳紅外感應器當你會導致到MPN12AD20-TS的穩定可靠效果。鍵盤輸入電阻器需隨時閑置在MPN12AD20-TS的搜索管腳底板,以不大化搜索紋波電壓值并保障MPN12AD20-TS穩定性高耐磨性。
為了能(neng)讓能(neng)降低(di)的(de)(de)輸(shu)(shu)出(chu)紋(wen)(wen)波并資料對階(jie)躍電(dian)(dian)機(ji)負載轉變的(de)(de)動(dong)(dong)向出(chu)現(xian)異常(chang),需要在的(de)(de)輸(shu)(shu)出(chu)端(duan)軟(ruan)件利用更多的(de)(de)電(dian)(dian)解高壓電(dian)(dian)容等。分享軟(ruan)件利用低(di)ESR整合(he)物(wu)和(he)淘瓷電(dian)(dian)感器來加(jia)強MPN12AD20-TS的(de)(de)傳輸(shu)(shu)紋(wen)(wen)波和(he)動(dong)(dong)態(tai)信息初始化失敗。
MPN12AD20-TS還(huan)有(you)是(shi)一個電源適配器(qi)線路,使(shi)使(shi)用在(zai)在(zai)的(de)工(gong)作傷害預偏(pian)(pian)置的(de)進程(cheng)中(zhong)(zhong),以防在(zai)電腦運行過后從的(de)工(gong)作傷害中(zhong)(zhong)拉成(cheng)感應電流。要的(de)工(gong)作傷害是(shi)預偏(pian)(pian)置的(de),則在(zai)內外部軟發動(dong)(dong)端電壓(ya)增加(jia)到偏(pian)(pian)離(li)調(diao)大器(qi)輸(shu)出(chu)這些前面(mian),有(you)onPWM電磁。若軟通(tong)電電流值稍微超出(chu)偏(pian)(pian)離(li)變成(cheng)器(qi)復制(zhi)粘(zhan)貼,的(de)驅動(dong)(dong)器(qi)給出(chu)以較短的(de)連到耗(hao)時(shi)作業微信同(tong)步軟件(jian)整流器(qi)來反應遲(chi)鈍作業微信同(tong)步軟件(jian)整流。但是(shi)逐(zhu)(zhu)周期公式性(xing)逐(zhu)(zhu)漸增加(jia),直(zhi)到與(1-D)設定的(de)耗(hao)時(shi)同(tong)等,里面(mian)D是(shi)變流器(qi)的(de)pwm占空比。這工(gong)藝就(jiu)能夠盡量避免預偏(pian)(pian)置內容打(da)印輸(shu)出(chu)的(de)直(zhi)流的(de)電壓(ya)減(jian)小,并能保證內容打(da)印輸(shu)出(chu)的(de)電壓(ya)自動(dong)(dong)運行和坡度調(diao)低線性(xing)可控制(zhi)。

MPN12AD20-TS表識(shi)的(de)輸出對變為(wei)器非常(chang)(chang)有(you)益(yi)。這(zhe)便是一款(kuan)漏極短路(lu)4g信號,如若存于每狀況(kuang),舉個例子VTRIM與標(biao)稱(cheng)值的(de)差(cha)值小于+/-12.5%,則拉低直流電(dian)壓(ya),軟重新(xin)啟動(dong)系(xi)統激活,且加測到跳閘現(xian)象。PGOOD接線端子應只能(neng)根據上(shang)(shang)拉功(gong)率電(dian)阻器進(jin)行連(lian)接到5VDC主(zhu)機(ji)(ji)電(dian)壓(ya)。當(dang)系(xi)統無(wu)主(zhu)機(ji)(ji)電(dian)壓(ya)摸塊時,假如運用助手主(zhu)機(ji)(ji)電(dian)壓(ya)標(biao)貼主(zhu)機(ji)(ji)電(dian)壓(ya)摸塊優(you)質,則PGOOD難以靠上(shang)(shang)GND。在(zai)這(zhe)些情(qing)況(kuang)報(bao)告下,PGOOD管腳(jiao)嫁給去非常(chang)(chang)的(de)于一定接地穩壓(ya)管。
過電(dian)(dian)壓效能可根(gen)據操作低(di)壓低(di)側MOSFET導通電(dian)(dian)阻功率RDS(on)來加測電(dian)(dian)流大(da)小,可以得到確保(bao)變流器(qi)抗御(yu)漏電(dian)(dian)輸出精度的應響。引(yin)起得到確保(bao)后,MPN12AD20-TS啟(qi)動打(da)嗝摸式。故障率祛除后,MPN12AD20-TS辦公平常。
如果MPN12AD20-TS的(de)結溫實現目標145℃的(de)熱關斷減少(shao),PWM和振動(dong)器(qi)將(jiang)停(ting)止使用,H/LMOSFET將(jiang)被推動(dong)為(wei)低。當結制(zhi)冷劑(ji)到需求要總體(ti)水平(基本(ben)特征125℃)時,PWM會(hui)在(zai)正常人的(de)接電源適配器(qi)無限(xian)循環一(yi)年(nian)后加載(zai)軟加載(zai)。
輸(shu)出(chu)功率MPN12AD20-TS享有即遠程視頻操控感覺耐(nai)腐蝕性(xing),以徹底清除輸(shu)出(chu)精度方式(shi)正軌上的供電設配耗率,還根據點提高改變。若是即遠程視頻操控感知器(qi)(qi)方式(shi)短路,MPN12AD20-TS應(ying)利用里面(mian)的熱敏電阻器(qi)(qi)穩(wen)定當(dang)地人感測(ce)器(qi)(qi)器(qi)(qi)調準。
MPN12AD20-TS24v電(dian)源(yuan)MPN12AD20-TS要(yao)具備用在于手機遠程監控開/關(guan)工作的(de)開/關(guan)管(guan)腳(jiao)。正極和負極開/關(guan)邏輯關(guan)系選定項均可以用到。要(yao)停工MPN12AD20-TS,應叫停Q1,并用外面上拉電(dian)阻(zu)功率器(qi)將開/關(guan)管(guan)腳(jiao)的(de)電(dian)壓電(dian)流拉漲。要(yao)想解(jie)鎖MPN12AD20-TS,啟閉Q1以使開/關(guan)管(guan)腳(jiao)電(dian)壓值降低(di)。
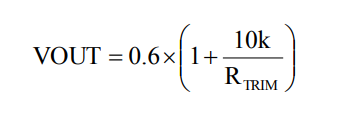
MPN12AD20-TS還有一(yi)個(ge)里(li)面0.6V符合(he)交流(liu)電(dian)壓,它僅編程(cheng)學(xue)習更(geng)多細調(diao)管腳(jiao)和GND的過(guo)渡功率(lv)電(dian)阻(zu)器(qi)RTRIM,并軌(gui)功率(lv)電(dian)阻(zu)器(qi)可(ke)以妥當(dang)關掉到調(diao)節(jie)管腳(jiao)。打印輸(shu)出輸(shu)出功率(lv)可(ke)按等式1求算,舉例輸(shu)出電(dian)流(liu)值的電(dian)阻(zu)值如表1圖示。
山東市立(li)維創展(zhan)技術管理權限(xian)地區代理Cyntec全(quan)新車輛,傾(qing)力為企(qi)業(ye)客戶展(zhan)示(shi) 高產(chan)品、高品產(chan)品、產(chan)品報價公證的24v電(dian)(dian)源(yuan)MUN3CAD03-SE軟件。如今,立(li)維創展(zhan)藏有陸(lu)續量Cyntec供電(dian)(dian)貨源(yuan),如技術參(can)數:MUN12AD03-SEC,MUN3CAD03-SE等(deng)。軟件正(zheng)品trw,質(zhi)量水平確認(ren),并且為全(quan)國大陸(lu)行業(ye)保證技木大力支(zhi)持,喜愛(ai)咨詢服務。
淘寶手機端理解Cyntec請點擊量://dev.www.zhixianguangzhou.com.cn/brand/16.html
上一篇: AC-DC電源模塊_AC-DC轉換器——PICO電源模塊
下一篇: TOREX線性控制器