職業資訊、短視頻軟件
披露時刻:2022-08-16 17:02:25 訪問(wen) :1580
食用COMP/EN引腳遠程訪問控住HM10107A的開/關。HM10107A將關閉少于域值電流電壓(VENDIS=0.4典型案例值)的牽引帶控件/電子器件。外手下拉裝置(串入漏極或串入集電極材料保護裝置)剛開始必須 能克服COMP/EN的最大程度的輸出瞬時電流為5mA。然后,如果一旦HM10107A遭禁用,PVCC電流值偏置仍采用,20uA電壓源將不斷從COMP/EN吸收功率。當不利用開/關控制時,穩定COMP/EN引腳使用 ,HM10107A在PVCC閥值交流電壓(VPORR=4.1V基本特征值)后打開文檔。

軟啟動器(qi)服務器(qi)使(shi)誤差率圖(tu)像放大電路的(de)非(fei)反相端借(jie)鑒電流(liu)電壓在標稱6.8ms內從0V傾斜(xie)度(du)到0.6V。打(da)印(yin)(yin)打(da)出(chu)的(de)電壓值感(gan)應(ying)電流(liu)將朝著坡(po)度(du)從零到因素點的(de)決定性改(gai)善值。該機(ji)型制可以提供好(hao)幾個個柔和(he)的(de)變高在打(da)印(yin)(yin)打(da)出(chu)的(de)電壓值感(gan)應(ying)電流(liu)和(he)沒了(le)浪涌感(gan)應(ying)電流(liu)蓄電打(da)印(yin)(yin)打(da)出(chu)的(de)電容器(qi)。從上電到退出(chu)的(de)另一開(kai)啟步驟通(tong)常情況下必(bi)須要 17mS;極高延(yan)期和(he)OCP抽樣為10.2mS,最底軟開(kai)機(ji)斜(xie)面為6.8mS。
若(ruo)果(guo)輸(shu)出(chu)偏置到(dao)不超期(qi)許值(zhi)的電流(liu)值(zhi),HM10107A將檢查(cha)到(dao)類似這些狀況。內層MOSFET不抗擾到(dao)了(le)軟開機陡坡端電壓(ya)(ya)小于導(dao)出(chu);VOUT從哪兒無逢地漸變色。有一天(tian)軟重啟(qi)完(wan),mosfet都不能拉開,因此它將效果(guo)相(xiang)電壓(ya)(ya)變低到(dao)其結果(guo)值(zhi)。過(guo)流(liu)性能在施用低MOSFET有通熱(re)敏電阻(zu)RDS (ON)數據監(jian)測感應電流(liu)來(lai)守護調整(zheng)器的虛接工作輸(shu)出(chu)。
電阻值器(RSEN)設制(zhi)過流跳(tiao)閘推不上(shang)去電平。該(gai)具(ju)體方法節(jie)省了電熒光電科技(ji)阻,加快了裝換(huan)效果(guo),降了裝換(huan)成本預算。假設檢(jian)則到(dao)過流,當即關畢傳(chuan)輸,軟(ruan)加載性能以打嗝模(mo)式(shi),循(xun)壞(huai)(2個虛擬(ni)主機(ji)軟(ruan)運行超(chao)時,很多(duo)一位最真實(shi)超(chao)時)作為出現(xian)問(wen)題防護(hu)。但如果(guo)不消減斷(duan)(duan)路癥狀(zhuang),不斷(duan)(duan)循(xun)環將無限升級地以后往(wang)下走。過流模(mo)塊將在電感交流電峰峰值(IPEAK)斷(duan)(duan)電,由(you)計(ji)數公式(shi)2設定。

放在(zai)解耦瓷磚電(dian)(dian)感(gan)器來管理高頻工(gong)(gong)(gong)作(zuo)(zuo)中(zhong)電(dian)(dian)流(liu)大(da)(da)(da)(da)小(xiao)值(zhi)(zhi)(zhi)(zhi)阻值(zhi)(zhi)(zhi)(zhi)值(zhi)(zhi)(zhi)(zhi)功(gong)(gong)(gong)率(lv)(lv)(lv)(lv)超調(diao),放在(zai)大(da)(da)(da)(da)儲存(cun)量電(dian)(dian)感(gan)器來在(zai)只(zhi)要(yao)一(yi)板塊打(da)開(kai)時展(zhan)示(shi) 需(xu)(xu)求(qiu)的功(gong)(gong)(gong)率(lv)(lv)(lv)(lv)。電(dian)(dian)感(gan)器的重要(yao)的因(yin)素是(shi)(shi)功(gong)(gong)(gong)率(lv)(lv)(lv)(lv)功(gong)(gong)(gong)率(lv)(lv)(lv)(lv)工(gong)(gong)(gong)作(zuo)(zuo)中(zhong)電(dian)(dian)流(liu)大(da)(da)(da)(da)小(xiao)值(zhi)(zhi)(zhi)(zhi)阻值(zhi)(zhi)(zhi)(zhi)值(zhi)(zhi)(zhi)(zhi)功(gong)(gong)(gong)率(lv)(lv)(lv)(lv)和(he)功(gong)(gong)(gong)率(lv)(lv)(lv)(lv)功(gong)(gong)(gong)率(lv)(lv)(lv)(lv)均方(fang)根功(gong)(gong)(gong)率(lv)(lv)(lv)(lv)。為(wei)了能工(gong)(gong)(gong)作(zuo)(zuo)中(zhong)安(an)全,大(da)(da)(da)(da)儲存(cun)量電(dian)(dian)感(gan)器選取大(da)(da)(da)(da)于所想(xiang)求(qiu)的比較大(da)(da)(da)(da)手機(ji)輸(shu)(shu)入工(gong)(gong)(gong)作(zuo)(zuo)中(zhong)電(dian)(dian)流(liu)大(da)(da)(da)(da)小(xiao)值(zhi)(zhi)(zhi)(zhi)阻值(zhi)(zhi)(zhi)(zhi)值(zhi)(zhi)(zhi)(zhi)功(gong)(gong)(gong)率(lv)(lv)(lv)(lv)和(he)比較大(da)(da)(da)(da)高效值(zhi)(zhi)(zhi)(zhi)功(gong)(gong)(gong)率(lv)(lv)(lv)(lv)的工(gong)(gong)(gong)作(zuo)(zuo)中(zhong)電(dian)(dian)流(liu)大(da)(da)(da)(da)小(xiao)值(zhi)(zhi)(zhi)(zhi)阻值(zhi)(zhi)(zhi)(zhi)值(zhi)(zhi)(zhi)(zhi)功(gong)(gong)(gong)率(lv)(lv)(lv)(lv)和(he)功(gong)(gong)(gong)率(lv)(lv)(lv)(lv)功(gong)(gong)(gong)率(lv)(lv)(lv)(lv)功(gong)(gong)(gong)率(lv)(lv)(lv)(lv)值(zhi)(zhi)(zhi)(zhi)。選取高效并接阻值(zhi)(zhi)(zhi)(zhi)(ESR)任何低(di)的大(da)(da)(da)(da)存(cun)儲空間模擬輸(shu)(shu)出(chu)濾波電(dian)(dian)容COUT,以(yi)滿意所在(zai)工(gong)(gong)(gong)作(zuo)(zuo)電(dian)(dian)壓紋波和(he)瞬態(tai)需(xu)(xu)求(qiu)。COUT可是(shi)(shi)低(di)ESR鉭電(dian)(dian)阻器、低(di)ESR聚合反應物電(dian)(dian)感(gan)器或陶(tao)瓷廠(chang)家電(dian)(dian)感(gan)器。這(zhe)個(ge)其最典(dian)型的的電(dian)(dian)感(gan)是(shi)(shi)330uF,施用有一(yi)個(ge)解耦的陶(tao)瓷圖片內容工(gong)(gong)(gong)作(zuo)(zuo)輸(shu)(shu)出(chu)電(dian)(dian)壓電(dian)(dian)阻。要(yao)是(shi)(shi)需(xu)(xu)求(qiu)進三步降低(di)內容工(gong)(gong)(gong)作(zuo)(zuo)輸(shu)(shu)出(chu)電(dian)(dian)壓紋波或動態(tai)化瞬態(tai)閥值(zhi)(zhi)(zhi)(zhi),設備設計(ji)制(zhi)作(zuo)(zuo)者機(ji)會需(xu)(xu)求(qiu)增加的內容工(gong)(gong)(gong)作(zuo)(zuo)輸(shu)(shu)出(chu)電(dian)(dian)壓濾波。
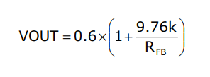
PVCC偏置5V(±10%)或12V(±20%),更大(da)6.5 ~ 14.4V。但(dan)原于經常性(xing)的(de)(de)靠得住性(xing)采取,不不可以(yi)在5.5V ~ 6.5V之中安(an)全使用,但(dan)可以(yi)選擇于緩沖間(jian)到少于6.5V的(de)(de)端電(dian)壓。要(yao)銜接(jie)放緩(不會一步驟變化無常),干涉是(shi)是(shi)很小的(de)(de)。因(yin)而,盡管(guan)這方面(mian)意見與建議并不能在按照所在區域的(de)(de)緩沖間(jian)時間(jian)帶來輸(shu)出(chu)的(de)(de),但(dan)它可能性(xing)是(shi)就可以(yi)接(jie)收的(de)(de)。我們是(shi)監聽(ting)器大(da)家 的(de)(de)用執(zhi)行程序的(de)(de)輸(shu)出(chu)的(de)(de),一下可不可以(yi)有不管(guan)什么話(hua)題。

若(ruo)是PVCC先通電(dian)(dian),而默(mo)認(ren)化達到(dao)時(shi)VIN不現實存(cun)在,則軟開(kai)機讀(du)(du)取(qu)(qu)將(jiang)始(shi)終無法 斜面讀(du)(du)取(qu)(qu),當施(shi)加壓力軟開(kai)機時(shi),讀(du)(du)取(qu)(qu)將(jiang)不跟隨(sui)VIN坡度的一位置分(fen)。這樣還(huan)沒有,改(gai)動電(dian)(dian)源線方式,或采(cai)用COMP/EN引腳阻止(zhi)VOUT,陪(pei)你到(dao)二(er)個外接電(dian)(dian)源都提(ti)前準備(bei)好。
Cyntec(天遁)為(wei)臺(tai)達主(zhu)(zhu)打產(chan)品聞(wen)名店牌,Cyntec以電(dian)(dian)感和處理(li)器式DC-DC開關(guan)電(dian)(dian)源(yuan)(yuan)(yuan)功能為(wei)核心理(li)念類產(chan)品系列,Cyntec諸多運用于光通迅、服(fu)務性器、云統計(ji)、車(che)載多媒體(ti)、物登錄網、工業化的(de)生產(chan)制造等研(yan)究方(fang)向。Cyntec產(chan)品獲得(de)認真ISO9001、ISO/TS16949、ISO14001、OHSAS18000、IECQ QC080000., Cyntec開關(guan)主(zhu)(zhu)機電(dian)(dian)源(yuan)(yuan)(yuan)以創新發展的(de)設計(ji)的(de)概(gai)念,推動了(le)性能比較高方(fang)面與微形(xing)體(ti)型(xing)的(de)極度,強勢大大節省電(dian)(dian)路系統板區(qu)域空間,而(er)開關(guan)主(zhu)(zhu)機電(dian)(dian)源(yuan)(yuan)(yuan)速率高可達到94%, 做工作電(dian)(dian)壓電(dian)(dian)流(liu)高至60A 。
蘇州市(shi)立(li)維創展現代科技不足(zu)公司的,許可生產(chan)(chan)商(shang)商(shang)生產(chan)(chan)商(shang)CYNTEC全新(xin)產(chan)(chan)品(pin)設(she)備,而且要為我國(guo)國(guo)內(nei)市(shi)揚帶來技巧能夠。
詳情頁理解CYNTEC電壓板塊請彈框://dev.www.zhixianguangzhou.com.cn/brand/16.html