業內最新資訊
發布(bu)的精(jing)力:2024-03-15 17:03:40 搜(sou)素:5975
些用(yong)(yong)和(he)/或是防(fang)護性(xing)(xing)高制度(du)化(hua)(hua)有可能都要(yao)在輸出更換元器件的(de)投(tou)入(ru)(ru)端應用(yong)(yong)商業險(xian)絲(si)。當產生持(chi)續投(tou)入(ru)(ru)電阻(zu)值反(fan)相而不會(hui)(hui)直流電壓局(ju)限的(de)有成功(gong)率時,也應應用(yong)(yong)商業險(xian)絲(si)。關鍵在于最(zui)大(da)化(hua)(hua)因素的(de)防(fang)護性(xing)(xing)高,Cyntec意見(jian)和(he)建議在未接地極(ji)的(de)鍵盤(pan)輸入(ru)(ru)電源模塊線上教育裝設迅猛(meng)商業保險(xian)絲(si)。裝設人(ren)工都要(yao)遵循所有相應的(de)健康(kang)應急(ji)性(xing)(xing)規范(fan)和(he)要(yao)求。經健康(kang)應急(ji)性(xing)(xing)中介機構審批后,應會(hui)(hui)根據最(zui)終能夠(gou)使用(yong)(yong)者健康(kang)應急(ji)性(xing)(xing)規范(fan)裝設改變器。

Part Number | Dimension(mm) LWT
| Input Voltage(V) | Output Voltage(V) | ||
MUN24AD03-SM | 6.0 | 6.0 | 3.5 | 4.5~34.0 | 5.0~12.0 |
錄入(ru)活性炭過濾:
MUN24AD03-SM應相連(lian)到低座(zuo)談會阻抗匹配外(wai)接電源適(shi)(shi)配器(qi),高電感(gan)外(wai)接電源適(shi)(shi)配器(qi)或的(de)線路(lu)電感(gan)會影響力(li)MUN24AD03-SM的(de)平衡性。輸進電感(gan)需要單獨擺到MUN24AD03-SM填(tian)寫引腳(jiao),以(yi)至少化填(tian)寫紋波的(de)電壓并提高認(ren)識MUN24AD03-SM的(de)增強性。
轉(zhuan)換(huan)凈化:
為減輕(qing)讀取紋波并改變對階躍(yue)過載變化(hua)規律(lv)的動向運行,需要(yao)在(zai)讀取端在(zai)用(yong)到(dao)是一(yi)個特(te)別電(dian)(dian)容(電(dian)(dian)容器)。建(jian)議大家在(zai)用(yong)到(dao)低ESR陶(tao)瓷(ci)制品(pin)電(dian)(dian)阻來完善MUN24AD03-SM的打出紋波和技術性回應。
編(bian)譯程(cheng)序輸入額定電壓:
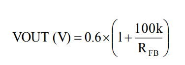
MUN24AD03-SM的(de)(de)的(de)(de)內部(bu)標準(zhun)電壓值為0.6V±1.5%打(da)出(chu)(chu)電壓值能否采用分(fen)壓阻(zu)阻(zu)RFB程(cheng)序設計,包涵FB引腳和GND引腳。輸(shu)入輸(shu)出(chu)(chu)輸(shu)出(chu)(chu)功率應根據ToffMIN和TonMIN的(de)(de)切換比來考慮的(de)(de),并依照(zhao)典(dian)型性(xing)輸(shu)出(chu)(chu)輸(shu)出(chu)(chu)功率的(de)(de)阻(zu)值來顯(xian)示。

珠海市立維創展(zhan)科技發展(zhan)管理權限(xian)代理商Cyntec新線(xian)路軟件,著力推進為(wei)老客(ke)戶出具高(gao)品質、優性能、價位(wei)公平(ping)的電原控(kong)制模塊軟件。軟件原廠進口商,服務質量絕對,而且為(wei)中國內(nei)地(di)大陸臺灣市揚展(zhan)示 技木適用,祝賀管理咨詢(xun)!!!