餐飲行業快訊
披露準確時間:2022-05-16 16:53:10 訪問 :2115
MUN12AD03-SEC高效化DC/DC開關電源傳感器評詁板在負載電阻直流電壓高達到3A時養成+5.0V內容輸出直流電壓。mun12AD03SEC電開關速度為1MHZ,用到所可以提供的方案可推動達91%的工作效率。
電力工程正確:
Parameters | Symbol | Value | Unit |
Input Voltage Rang | VIN | 4.5~17 | V |
Output Voltage | VOUT | 1.0~5.0 | V |
Output Current | IOUT | 3 | A |
分析板能力:

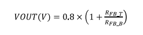
模塊(kuai)電(dian)源內部的有0.8V+1.5%的關(guan)聯性額(e)定交流電(dian)壓(ya),打印輸出(chu)額(e)定交流電(dian)壓(ya)可利于(yu)分(fen)光電(dian)探測器阻器(RFBT和RFB)進(jin)行java開發。傷害(hai)相(xiang)電(dian)壓(ya)可根據方程式式1計算出(chu)來,功率電(dian)阻器的進(jin)行可參考選(xuan)取(qu)表1:
是由于TI 熱們款式TPS82130、TPSM82813、TPS82140大平數欠料情形,許多 玩家遭遇混凝土泵送價調貨,而Cyntec電壓的MUN12AD03-SEC能原位P2P 代換。漂亮來解決TPS82130、TPSM82813、TPS82140缺貨問題,同時立維創展享有大(da)批MUN12AD03-SEC現貨交易批發商。
長沙市立維創(chuang)展(zhan)新材(cai)料技術受權經銷Cyntec新線(xian)路護膚(fu)品(pin),強院為用戶提供數據高的(de)品(pin)質、優品(pin)質、定價公平(ping)的(de)外接(jie)電源引擎護膚(fu)品(pin)。護膚(fu)品(pin)原版原機,產品(pin)質量確認,而且為國大陸市廠展(zhan)示 水平(ping)搭(da)載,喜愛諮詢。