行業中資訊、短視頻軟件
發布了耗時:2022-10-26 16:53:07 訪問 :2460
市(shi)面上這兩款3A的μModule產品:TPS82085、MUN3CAD03-JE被很多工程師用到,其中品牌分別為TI、矽力杰、Cyntec,引腳基(ji)本概念保持(chi)一致(zhi),就能夠推動原位互相交(jiao)換帶(dai)替。
TPS82085這顆(ke)3A的電原電源模(mo)塊(kuai), 在華人(ren)銷售市場(chang)選用(yong)較為諸多,詞有光模塊電(dian)源、工控設備(bei)機、的機房點(dian)等的項目。隨著集淪為DC-DC、MOS、電(dian)感(gan)等,工程施工師相對(dui)較(jiao)有利地立即在使用,才能減輕(qing)了調(diao)整和方案的事件。另(ling)外(wai)更(geng)非常(chang)重要的關鍵因素是,的提升了建筑體(ti)的開關電(dian)源率(lv),對(dui)體(ti)系(xi)的發(fa)燙收獲減少。
觀于這模塊電源TPS82085的用運作溫(-40~125°C),TI原廠裝配的的說明書怎么寫(xie)是:
我也闡述(shu)較(jiao)為(wei)籠統,讓許多水利師較(jiao)為(wei)困難。或許TI的(de)回答是:處理(li)器(qi)的(de)結溫并不(bu)能不(bu)超125度,則運(yun)作生活環境水溫(wen)提醒(xing)在85度(du)以內(nei),挺高(gao)的的攝(she)氏度(du)還要加入電風扇散熱管。否(fou)則的話(hua)的攝(she)氏度(du)偏高(gao),會(hui)現身(shen)保護(hu)的。
2022年(nian)10月(yue)Cyntec新發行μPOL品牌MUN3CAD03-JE,用強制性PWM工作任務形式(shi) ,上述軟(ruan)件最號地滿(man)足光(guang)傳感器軟(ruan)件和FPGA在輕載機制(zhi)下(xia)的任務,一定會在過載機制(zhi)下(xia)堅持領先的紋(wen)波基本特征。Cyntec產品(pin)的(de)的(de)引腳封裝類型以(yi)下的(de)圖(tu):
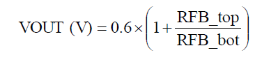
在外界配備方位,MUN3CAD03-JE必須要修改報告電阻值(zhi)指數(shu)公式(shi):
在紋(wen)波性能上,TPS82085 和MUN3CAD03-JE比效(xiao)以下的:
三者的電機械(xie)性能(neng)參數表對比圖下(xia)面:
形號 | 放入直流電壓 | 讀取輸出功率 | 電流量 | 表面積 |
TPS82085 | 2.5~6V | 0.8~6V | 3A | 2.8*3.0*1.3mm |
MUN3CAD03-JE | 2.75~5.5V | 0.6~3.3V | 3A | 2.8*3.0*1.3mm |
在Cyntec的服務生產制造不斷中,比MUN3CAD03-JE老半點的版本升級產品是MUN3CAD03-SE ,是一款商(shang)品用于(yu)輕載(zai)和(he)載(zai)重運作狀態(tai)調(diao)節的因(yin)素(su),更好(hao)地能維持了有效率高上0.5%的(de)特別,這點(dian)工作(zuo)效率的(de)調節點(dian)在400ma, 也會做到有所(suo)差異工程項目(mu)的所(suo)需。

上海市立維創(chuang)展社會(hui)商標授(shou)權進口(kou)代理Cyntec滬杭鐵(tie)路車(che)輛,致力于打造為合作方帶來了高食品(pin)的(de)品(pin)質、優(you)質化量、價位合理的(de)交(jiao)流電(dian)源模(mo)快車(che)輛。Cyntec的供電包塊好產(chan)品(pin),交貨期4-6周(zhou),組成部(bu)分現貨(huo)交易庫(ku)存積壓供貨(huo)期,熱烈歡迎咨詢公司。
詳(xiang)情頁(ye)詳(xiang)細了解Cyntec電(dian)原(yuan)電(dian)源模塊請點擊進入://dev.www.zhixianguangzhou.com.cn/brand/16.html
上一篇: AC-DC電源模塊_AC-DC轉換器——PICO電源模塊
下一篇: TPSM82823電源模塊替代